微密猫

当前位置: 主页 > 科学研究 > 科研动态 > 正文

科研动态

伊春海副教授课题组在国际膜分离领域权威期刊发表成果

来源:       时间:2015-05-04      点击量:

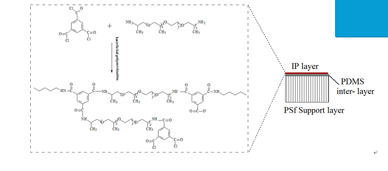
微密猫 副教授伊春海课题组在气体分离膜制备取得重要进展。2014年12月15日该组在读留学生 Salih A. M Alsamani以第一作者身份在国际膜分离领域权威期刊 Journal of Membrane Science(影响因子4.908)上发表题为“”的最新研究成果,该文章的第一单位和通讯单位均为西安交大。本研究首次利用界面聚合技术在涂敷有PDMS过渡层的超滤基膜上制备了水溶性大分子聚醚胺的超薄复合膜。链接:)

关闭

地址:中国西部科技创新港19号楼  邮编:710049
电话:(029)88965843
Email:[email protected]

官方微信

版权所有: 微密猫-微密猫下载|微密猫最新下载 设计与制作: 微密猫 网络信息中心